Abstract
Introduction: HCT-CI score was initially proposed to predict NRM and survival in allogeneic SCT patients. This was also validated for ASCT by CIBMTR and showed worse survival and NRM in high risk patients. Here, we report results of comorbidity score and its impact specifically in myeloma patients who received intensive preparative regimen consisting of bortezomib, dexamethasone and thalidomide in addition to standard dose Melphalan 200mg/m2 followed by maintenance therapy.
Patients and methods: Retrospective analysis was performed on patients receiving autotransplants between March 2012 and December 2016. To investigate the association between HCT-CI patient, disease, and transplant characteristics, chi-squared and Fisher's exact tests were used. Survival probabilities were estimated and plotted using the Kaplan-Meier method. For OS, time was calculated from transplant to death due to any cause. OS differences were evaluated using the log-rank test. NRM was defined as time from transplant to death due to any cause without prior relapse; relapse was defined as a competing event. Cumulative incidences of NRM were plotted and compared using Gray's test.
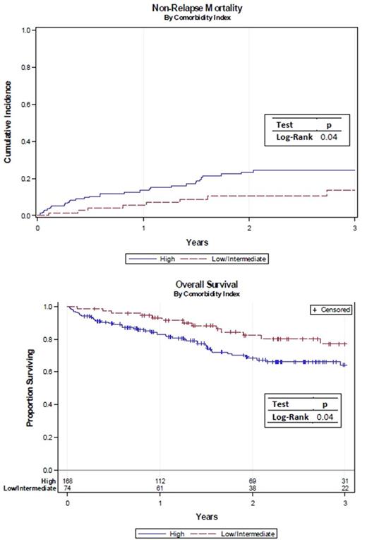
Results: 242 patients were included; 88 were > 65 years; 94 were females. Low and intermediate HCT-CI groups were combined and compared against the high risk group. The majority (69 %) were high risk (HCT-CI score ≥3). Only KPS <to90% and male sex were significantly associated with high risk scores. In both low/intermediate and high risk groups high rates of CR, 67.6% and 69%, respectively, were achieved post-transplant. The 3 year OS was 77% (95% CI 63-86%) and 64% (95% CI 55-72%, p=0.04), respectively, while NRM was 14% (95% CI 6-25%) and 24% (95% CI 17-32%, p=0.04).
Conclusion: This analysis shows that the HCT-CI score can predict worse NRM and OS in high risk myeloma patients receiving ASCT using intensive preparative regimen. Higher than expected rates of NRM in both groups are likely due to a high incidence of infections and other complications during maintenance therapy, but this treatment approach resulted in very high rates of CR in both groups. Therefore, these results and further analysis could help to better stratify and select patients prior to considering intense therapy that could derive favorable long term benefits from this approach.
No relevant conflicts of interest to declare.
Author notes
Asterisk with author names denotes non-ASH members.

This feature is available to Subscribers Only
Sign In or Create an Account Close Modal